九游·体育(NineGameSports)官方网站-数智体育价值引领者

五、深度学习优化算法-九游·体育科技集团
i1pcban.jpg i1pcban.jpg

新闻九游

五、深度学习优化算法

2026-04-14 

分享到

  mini-batch指的是将原本整个batch的数据集进行划分,e.g., 将整个数据集以1000条数据为标准划分成小的batch。

五、深度学习优化算法(图1)

五、深度学习优化算法(图2)

  在进行mini-batch训练时,训练的成本可能不是随着训练次数增加而一直减小,而是呈现出波动下降的趋势,因为不同的mini-batch的数据之间的难易程度不一样。

五、深度学习优化算法(图3)

  如下图所示,mini-batch size的选择不能过大也不能过小,若size过大会减慢训练的速度,若size过小会使得训练波动性变大,训练效果变差。

五、深度学习优化算法(图4)

  其中, β∈[0,1]的值可以用来衡量移动平均的时间窗跨度, β的值越接近于1,移动平均的时间窗跨度越大,从而移动平均之后的数据相对于原始数据的来说越平滑;反之,移动平均值后的数据和原始数据的分布越接近。

五、深度学习优化算法(图5)

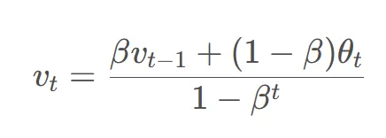
  在移动平均的前期,通常经过移动平均的数据相对原始数据的偏差较大,所有可以给指数移动平均添加一个修正项,修正之后的指数移动平均计算方法为:

五、深度学习优化算法(图6)

  动量梯度下降的执行过程如下所示,相对于普通的梯度下降算法,动量梯度下降将学习率之后的项由 db dw,db替换成了 vdw,vdb。

五、深度学习优化算法(图7)

  RMSProp的思想也是想要减小梯度下降过程中梯度在 b b b方向上的震荡幅度,同时不减小在 w w w方向上的收敛幅度,RMSProp的计算过程如下所示:

五、深度学习优化算法(图8)

五、深度学习优化算法(图9)

  使用learning rate decay的intuition是:当使用mini-batch进行训练时,当batch size选的比较小时,通常会造成学习不收敛,使得最终目标在最优值附近较大幅度地震荡,所以可以在训练初始阶段使用较大的学习率,使得训练速度加快;在之后使用比较小的学习率,使得震荡幅度减小

五、深度学习优化算法(图10)

  由于神经网络在训练时通常会有很多维度的参数空间,所以通常神经网络不容易陷入一个很坏的局部最优解。

  plateaus型函数会极大减慢训练的效率,所以可以使用Adam来提九游体育科技高运算效率。

  本程序基于MATLAB实现MVO优化的DBSCAN聚类算法,通过多元宇宙优化自动搜索最优参数Eps与MinPts,提升聚类精度。对比传统DBSCAN,MVO-DBSCAN有效克服参数依赖问题,适应复杂数据分布,增强鲁棒性,适用于非均匀密度数据集的高效聚类分析。

  【高创新】基于优化的自适应差分导纳算法的改进最大功率点跟踪研究(Matlab代码实现)

  【高创新】基于优化的自适应差分导纳算法的改进最大功率点跟踪研究(Matlab代码实现)

  使用蚁群算法来优化BP神经网络的权重和偏置,克服传统BP算法容易陷入局部极小值、收敛速度慢、对初始权重敏感等问题。

  �九游体育科技� 蒋星熠Jaxonic,AI探索者。深耕深度学习,从神经网络到Transformer,用代码践行智能革命。分享实战经验,助你构建CV、NLP模型,共赴二进制星辰大海。

  【图像处理】基于电磁学优化算法的多阈值分割算法研究(Matlab代码实现)

  【图像处理】基于电磁学优化算法的多阈值分割算法研究(Matlab代码实现)

  【微电网多目标优化调度】多目标学习者行为优化算法MOLPB求解微电网多目标优化调度研究(Matlab代码实现)

  【微电网多目标优化调度】多目标学习者行为优化算法MOLPB求解微电网多目标优化调度研究(Matlab代码实现)

  【机器人路径规划】基于6种算法(黑翅鸢优化算法BKA、SSA、MSA、RTH、TROA、COA)求解机器人路径规划研究(Matlab代码实现)

  【机器人路径规划】基于6种算法(黑翅鸢优化算法BKA、SSA、MSA、RTH、TROA、COA)求解机器人路径规划研究(Matlab代码实现)

  基于灰狼优化算法(GWO)解决柔性作业车间调度问题(Matlab代码实现)

  基于灰狼优化算法(GWO)解决柔性作业车间调度问题(Matlab代码实现)

  【基于TTNRBO优化DBN回归预测】基于瞬态三角牛顿-拉夫逊优化算法(TTNRBO)优化深度信念网络(DBN)数据回归预测研究(Matlab代码实现)

  【基于TTNRBO优化DBN回归预测】基于瞬态三角牛顿-拉夫逊优化算法(TTNRBO)优化深度信念网络(DBN)数据回归预测研究(Matlab代码实现)

  m基于FFT傅里叶变换的QPSK基带信号频偏估计和补偿算法FPGA实现,包含testbench和matlab星座图显示

  DL之DNN:基于sklearn自带california_housing加利福尼亚房价数据集利用GD神经网络梯度下降算法进行回归预测(数据较多时采用mini-batch方式训练会更快)

  JVM中的垃圾收集算法详解(标记清除算法、标记复制算法、标记整理算法)

  基于雾凇冰物理现象优化算法RIME求解单目标优化问题附matlab代码

  深度学习进阶篇-预训练模型4:RoBERTa、SpanBERT、KBERT、ALBERT、ELECTRA算法原理模型结构应用场景区别等详解

  中草药识别系统Python+深度学习人工智能+TensorFlow+卷积神经网络算法模型